Deportes
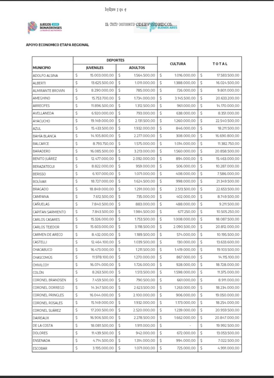
A Benito Juárez le adjudican la suma de $12.477.000,00 para Deportes Juveniles, $2.092.000,00 para deportes en Adultos y $849.000,00 para cultura, un total de $15.466.000,00.
25 de septiembre de 2025 11:17:00
El Gobierno de Axel Kicillof aprobó la transferencia de aportes no reintegrables por un total de $1.933.238.010 a los municipios bonaerenses, con el objetivo de solventar la Etapa Regional de la 34ª edición de los Juegos Bonaerenses, cuya Final Provincial será en Mar del Plata, del 12 al 17 de octubre.
A través del decreto 2476 publicado este miércoles en el Boletín Oficial, la administración bonaerense tomó la decisión para buscar garantizar la participación de miles de jóvenes, adultos mayores y personas con discapacidad en las distintas disciplinas deportivas y culturales.
Desde el Ministerio de Desarrollo de la Comunidad, a cargo de Andrés Larroque, se destacó que la inversión provincial permite a los gobiernos locales cubrir gastos de logística, traslados, infraestructura y organización, asegurando la continuidad de la competencia en todas las regiones.
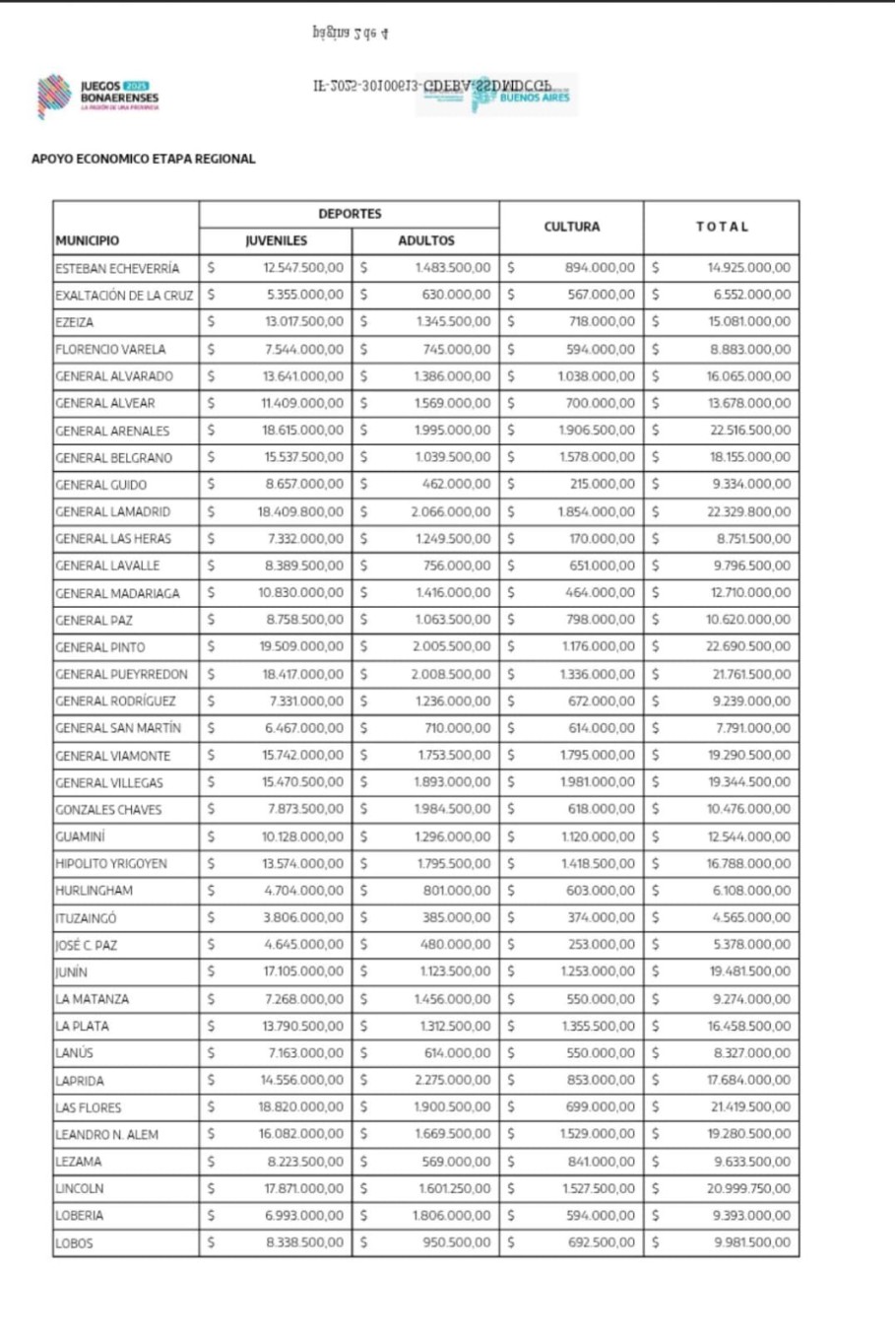
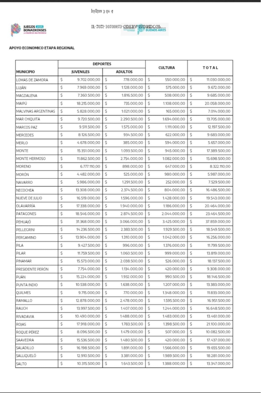
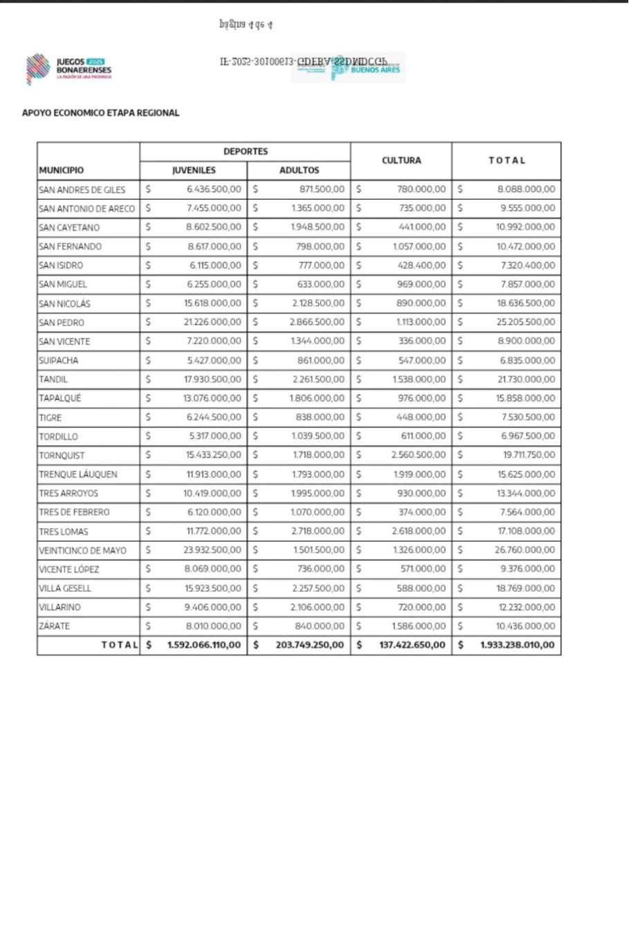
Según consta en el anexo, Azul $18.211.500; Bahía Blanca recibirá $16.690.800; Bolívar $21.349.500; Bragado $22.653.500; Junín $19.481.500; Necochea $16.486.500; Pehuajó $37.859.000; San Nicolás $18.636.500 y Tres Arroyos $13.344.000. Mientras que dentro del conurbano las comunas que más recibirán en esta instancia son La Plata $16.458.500; Ezeiza $15.081.000 y Esteba Echeverría $ 14.925.000.
Con la participación récord de 480 mil personas, los Juegos Bonaerenses versión 2025, concluyeron la etapa local de competencia en los 135 distritos de la provincia. Desde el inicio de agosto y hasta el 30 de septiembre, está en marcha el desarrollo de las etapas regional e interregional, que definirán a las y los finalistas que clasificarán a la gran Final Provincial en Mar del Plata, del 12 al 17 de octubre.
La edición N° 34 de esta política pública histórica, impulsada por el Gobierno de Axel Kicillof a través de la Subsecretaría de Deportes y en articulación con el Instituto Cultural, cuenta con más de 100 disciplinas deportivas y culturales para jóvenes, personas con discapacidad y trasplantadas, y personas mayores. (DIB)
Fuente: DIB





Los comentarios publicados son de exclusiva responsabilidad de sus autores y las consecuencias derivadas de ellos pueden ser pasibles de sanciones legales.
29/11/2025 22:34:00
29/11/2025 22:34:00
28/11/2025 20:56:00
28/11/2025 20:56:00
28/11/2025 17:36:00
28/11/2025 17:36:00
FALLECIO EN B JUAREZ EL DIA 30/11/2025. EDAD: 82 AÑOS. SEPELIO: 30/11/25 HORA: 11:00. VELATORIO: FALUCHO 75 RESPONSO: CAPILLA ARDIENTE HOGAR DE DUELO: PUMARA 69
FALLECIO EN B JUAREZ EL DIA 29/11/2025. EDAD: 82 AÑOS. SEPELIO: 30/11/25 HORA:9:00. VELATORIO: NO SE EFECTUA RESPONSO: NO SE EFECTGUA HOGAR DE DUELO: ALEM 478.
Falleció en Benito Juárez, a los 70 años, el 29 de noviembre de 2025 Sus restos serán inhumados el día 30 de noviembre en la necrópolis local, previo oficio religioso en la Capilla Ardiente a la hora 10:00. Hogar de duelo: Chile 197 Velatorio: Falucho 75
Juan Manuel Taul y flia. participan con hondo pesar su fallecimiento, acompañan a la familia en este doloroso momento y elevan una plegaria por el eterno descanso de su alma en la paz del Señor.
26/11/2025 22:41:00
26/11/2025 22:41:00
26/11/2025 22:33:00
26/11/2025 22:33:00
26/11/2025 22:23:00
26/11/2025 22:23:00
26/11/2025 16:53:00
26/11/2025 16:53:00
26/11/2025 16:50:00
26/11/2025 16:50:00
26/11/2025 16:46:00
26/11/2025 16:46:00
26/11/2025 16:42:00
26/11/2025 16:42:00
26/11/2025 09:13:00
26/11/2025 09:13:00
![]()
![]()
Copyright © 2025 | El Fenix Digital - El diario independiente de la mañana